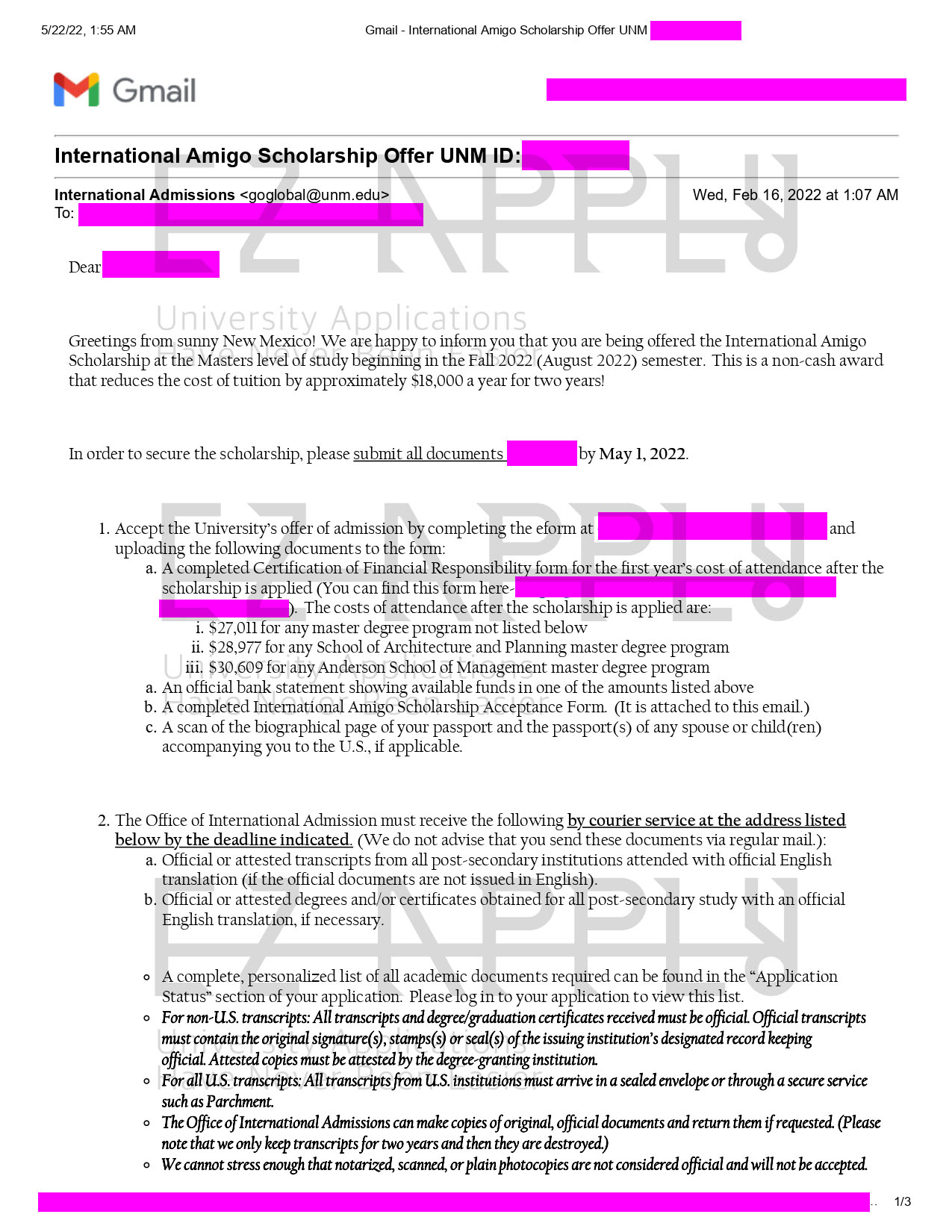
اخذ پذیرش با فاند توسط تیم «ایزی اپلای» در مقطع کارشناسی ارشد معماری از دانشگاه «University of New Mexico»
خلاصه ای از رزومه متقاضی:
• کارشناسی مهندسی معماری از دانشگاه آزاد اسلامی (رباط کریم) معدل : 14.96
• نمره زبان : TOEFL : 92 (Listening : ۲۷, Reading: ۲۴, Speaking: ۲۲, Writing: ۲۳)
• نمره جی آر ای: ۳ :Verbal: ۱۴۱, Quant: ۱۴۹, Analytical Writing
• مقاله : بدون مقاله

اخذ پذیرش با فاند توسط تیم «ایزی اپلای» در مقطع کارشناسی ارشد معماری از دانشگاه «University of New Mexico»
• مقدار اسکالرشیپ دریافتی متقاضی : 18,000 دلار در سال
• مجموع فاند دریافتی : 36,000 دلار برای دو سال


اخذ پذیرش با فاند توسط تیم «ایزی اپلای» در مقطع کارشناسی ارشد برنامه ریزی شهری از دانشگاه «University of Arizona»
• مقدار TA دریافتی متقاضی : 10,000 دلار در سال